어떠한 문제를 풀 때 변수가 여러개 일 수 있다. 여러개의 features와 변수들을 이용한 linear regression 추론에 대해서 알아보자.
ex) 집 값을 결정하는 변수 - size, 침실 수, 층 수 등
Notation

4번째 샘플의 x1 feature 값이다. (852)
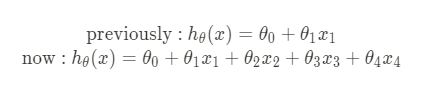
이전에는 하나의 변수를 사용했다면 지금은 여러개의 변수를 사용하는 방법을 알았다. 그렇다면 수식은 어떻게 변해야할까

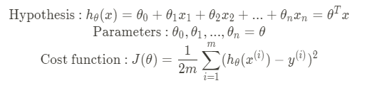
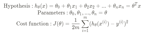
만약 n개의 features가 있다면 그만큼 파라미터와 수식 늘어나게된다.


이번에는 hypothesis의 parameters를 어떻게 정하는지 알아보자.

위 식은 x0=1이라는 정의하에 나온 식이다.
Parameters을 개별적으로 생각하지않고 그냥 θ라고 여기도록 하자.
이 θ는 n+1차원의 벡터이다.
위 식을 θ 벡터로 표현해보면

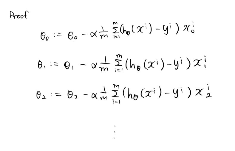
이를 토대로 Gradient Descent 식을 세워보면

Gradient Descent가 동작하는 방식은 다음과 같다.



'Machine Learning' 카테고리의 다른 글
| PyTorch - What is PyTorch (1) (0) | 2019.10.16 |
|---|---|
| Keras - ImageDataGenerator (0) | 2019.10.16 |
| 코세라 - 03 Gradient Descent (0) | 2019.08.30 |
| 코세라 - 02 Cost Function (0) | 2019.08.30 |
| 코세라 - 01 Model Representation (0) | 2019.08.30 |