Gradient Descent
Cost function J를 최소화하기 위한 방법
머신러닝 전반에 사용되는 개념
문제 정의

제일 먼저 해야할 것은 params을 초기화 하는 것이다. 초기화를 잘해줘야 다른 시작보다 빠르게 최저점을 찾을 수 있다.

한 점에서 주위를 보고 어디가 가장 경사가 급한지 보고 그 지점으로 learning rate라는 보폭만큼 걸어 나간다.
이 과정을 반복하여 minima를 찾는다.

:= 은 할당받는 것을 의미한다. (assignment)
α = learning rate

update를 진행할 때 계산을 먼저 진행 하고서 두 파라미터를 업데이트하는 것이 더 자연스럽다. Incorrect 부분을 보면 𝜃1을 계산하게 되면 값이 바뀌기 때문에 옳게 업데이트 한다고 볼 수 없다.





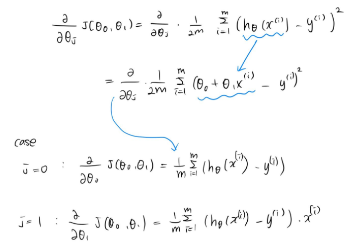
gradient descent를 이용해서 cost function


위와 같은 방법을 Batch Gradient Descent 라고 한다.
Batch : gradient descent의 각 스텝이 모든 학습 examples를 사용하는 것
모든 데이터들의 error구하고 summation하는 것을 의미한다.
'Machine Learning' 카테고리의 다른 글
| Keras - ImageDataGenerator (0) | 2019.10.16 |
|---|---|
| 코세라 - 04 Multiple features (0) | 2019.08.30 |
| 코세라 - 02 Cost Function (0) | 2019.08.30 |
| 코세라 - 01 Model Representation (0) | 2019.08.30 |
| 코세라 - 00 Machine Learning (0) | 2019.08.30 |